宅男666网站,宅男视频在线网站,宅男视频网站,宅男APP免费观看

芬蘭Kibron專注宅男视频在线网站測量技術,快速精準測量動靜態表麵張力

熱線:021-66110810,66110819,66110690,13564362870 Email: info@vizai.cn

合作客戶/

拜耳公司.jpg

拜耳公司

同濟大學

同濟大學

聯合大學.jpg

聯合大學

寶潔公司

美國保潔

強生=

美國強生

瑞士羅氏

瑞士羅氏

當前位置:首頁 > 新聞中心

非-陰離子型醇醚磺酸鹽表麵活性劑降低魏崗原油的表麵張力(二)

來源:精細石油化工 瀏覽 895 次 發布時間:2025-06-20

2.2陰離子與非離子表麵活性劑混合溶液的相互作用參數


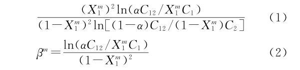
兩種單一表麵活性劑混合後會產生相互作用,使得表麵活性劑分子在界麵上排列更為緊密,表麵/界麵活性提高,混合膠束也更容易形成。這種相互作用的程度可以通過計算相互作用參數來確定。根據正規溶液理論,Rubingh、Rosen等給出了非理想溶液混合物膠束模型方程用以計算表麵活性劑之間的相互作用參數βm。

根據單一表麵活性劑以及不同混合比下的CMC,采用公式(1)~(3)計算混合表麵活性劑溶液膠團熱力學參數,結果見表2。圖2和圖3分別給出了2種表麵活性劑在不同混合比下實際混合和理性混合時膠束濃度以及AEO3S在膠束中的摩爾分數的變化。

表2 AEO3S與LDA混合體係熱力學參數計算

圖2混合溶液中AEO3S摩爾分數對表麵張力的影響

圖3溶液中AEO3S摩爾分數與膠束中的摩爾分數關係


由圖2可知,實際混合物的CMC比理想混合物的CMC值低,說明AEO3S與LDA的相互作用導致二元混合物的非理想行為。當混合比m(AEOS)∶m(LDA)為1∶2 ~ 4∶1時,AEOS在溶液中摩爾分數從0.23變化到0.7,相互作用參數βm在-1.2~-2.7之間變化。一般來說,βm反映了混合體係中2個表麵活性劑組分在膠束中分子相互作用程度,負的程度越大,相互作用程度越強。β值的正負表明相互作用的類型,βm>0時,表示二組分之間有相互疏遠、排斥的作用。βm<0時,表示混合體係內二組分之間有相互吸引作用,β絕對值的大小則反映出相互作用的程度,|βm|<3說明分子間相互作用較弱。說明分子間存在強烈的相互作用;3<|βm|<10說明分子間存在中等相互作用。由此可見,醇醚磺酸鹽陰離子表麵活性劑AEO3S與非離子表麵活性劑LDA在鹽水介質中的相互作用程度較弱。另外,二元體係產生協同作用的必須滿足兩個條件[17]:(1)βm<0;(2)|βm|>|ln(C1/C2)|。由表2中實驗數據知AEO3S與LDA混合溶液的熱力學參數均滿足兩個條件,說明二者具有降低CMC的協同作用。


2.3表麵活性劑配比以及聚合物對界麵活性的影響


采用地層模擬水配製表麵活性劑溶液濃度為0.3%,實驗探討了70℃表麵活性劑配比對界麵張力的影響,實驗結果見圖4。

圖4 AEO3S-LDA體係與魏崗原油的界麵張力


由圖4可以看出,單一表麵活性劑AEO3S與LDA同魏崗原油的界麵張力均在10-1mN/m數量級,當改變混合表麵活性劑溶液中AEO3S與LDA質量比為2∶3時,界麵張力為0.003 14 mN/m,當質量比為1∶1時界麵張力為0.005 23 mN/m,也就是說含有40%~50%AEO3S的混合表麵活性劑溶液的界麵張力均可達到超低界麵張力(10-3mN/m數量級),其他混合比時溶液的界麵張力均在10-2mN/m數量級,這就表明AEO3S與LDA具有較好降低界麵張力的協同作用。這是由於單一陰離子表麵活性劑在油水界麵排列時AEO3S分子負離子(—SO3—)基團之間存在著斥力影響了分子排列緊密程度,當加入非離子表麵活性劑LDA後,LDA分子插入陰離子表麵活性劑AEO3S之間,使得原來的AEO3S離子頭—磺酸基團之間的電性斥力減弱,油水界麵電荷密度減少,分子間排列緊密程度增加,使得油水界麵張力大幅下降。


為方便後續實驗的描述,將具有較高界麵活性的40%AEO3S+60%LDA體係命名為LDAS驅油用複配表麵活性劑。


2.4複配表麵活性劑濃度對界麵張力的影響


由於表麵活性劑降低油水界麵張力,可提高驅替相的洗油效率,而水溶性聚合物可以提高驅替流體的黏度,進而降低水油流度比,從而使驅油劑具有更大的波及體積[18-19]。因此,常常將表麵活性劑與聚合物複配構成二元驅油體係用於提高石油采收率。


實驗固定聚合物濃度0.12%HPAM,改變LDAS用量,70℃下測試驅油體係與原油之間的界麵張力,實驗結果見圖5。

圖5 LDAS濃度與界麵張力的關係


由圖5可知,無論溶液有無聚合物存在,隨著複配表麵活性劑LDAS濃度的增加界麵張力呈現先下降而後略有增加的現象。無聚合物時,活性劑LDAS濃度在0.1%~0.4%時界麵張力均處於超低界麵張力範圍;加入0.12%HPAM後,油水界麵張力略有上升,但0.2%和0.3%LDAS溶液與魏崗原油間的界麵張力仍然很低,分別為0.003 8 mN/m和0.004 5 mN/m,表明複配表麵活性劑體係具有很高的界麵活性。


3結論


a.醇醚磺酸鹽AEO3S和月桂酸二乙醇胺(LDA)在地層水中的CMC分別為0.131和0.26 mmol/L,表麵張力分別為37.3和30.25 mN/m,兩者混合後溶液的CMC和表麵張力均下降,表明兩種表麵活性劑的複配有利於降低混合溶液的臨界膠束濃度和表麵張力,活性提高。


b.AEO3S與LDA的複配體係在形成膠束上表現出一定協同作用,AEO3S更易於進入混合膠束中。兩者質量比為1∶2和2∶3時相互作用參數最大,CMC和表麵張力(γCMC)都較低。


c.以魏崗原油作為內相測試了混合表麵活性劑體係的界麵活性,複配體係40%~50%AEO3S+60%~50%LDA的界麵張力達到10-3mN/m數量級,比單一表麵活性劑的界麵張力高出2個數量級,表現出良好的界麵活性。


d.當m(AEO3S)∶m(LDA)=2∶3時,在0.12%HPAM存在下,0.2%~0.4%複配表麵活性劑可以使油水界麵張力降到超低值,可用於高凝原油的驅油。


網站地圖