合作客戶/
拜耳公司 |
同濟大學 |
聯合大學 |
美國保潔 |
美國強生 |
瑞士羅氏 |
相關新聞Info
-
> 單萜萜類驅油劑界麵張力、配伍性、降黏效果及破乳效果測試與篩選(二)
> 強子誇克相變的表麵張力數值變化研究(一)
> 高分子類助劑主要增效機製及在除草劑領域應用機理
> 不同溫度下純有機物液體表麵張力估算方法及關聯方程(一)
> 溫度及壓強對CO2-NaCl鹽水係統界麵張力的影響(二)
> CO2泡沫穩定性原理、影響因素|CO2-EOR機理與應用前景(一)
> 聚氧乙烯鏈長度調控非離子Gemini表麵活性劑的表麵張力、接觸角(四)
> PG木質素活性劑增產機理、選井條件、應用效果
> 微凝膠顆粒在氣液界麵處吸附動力學及動態方程研究——摘要、介紹、材料及方法
> 內分泌物在膠束中的增溶作用——結論、致謝!
推薦新聞Info
-
> 不同礦漿濃度、粒度、伴生礦物、捕收劑和起泡劑對礦漿表麵張力的影響(三)
> 不同礦漿濃度、粒度、伴生礦物、捕收劑和起泡劑對礦漿表麵張力的影響(二)
> 不同礦漿濃度、粒度、伴生礦物、捕收劑和起泡劑對礦漿表麵張力的影響(一)
> 長慶油田隴東地區的CQZP-1助排劑表/界麵張力測量及現場應用(三)
> 長慶油田隴東地區的CQZP-1助排劑表/界麵張力測量及現場應用(二)
> 長慶油田隴東地區的CQZP-1助排劑表/界麵張力測量及現場應用(一)
> 液膜斷裂點與電壓最大值在表麵張力測量中的對比研究(二)
> 液膜斷裂點與電壓最大值在表麵張力測量中的對比研究(一)
> 表麵張力與表麵張力係數測量:概念、方法與科學意義
> 微重力下二極對非均勻旋轉磁場控製半浮區液橋表麵張力對流的數值研究(下)
海藻糖脂:一種兼具優異發泡性能與皮膚溫和性的新型表麵活性劑(四)
來源:日用化學工業 瀏覽 237 次 發布時間:2026-01-09
2.3角質層表麵測量法和Zeta電位
體外角質層表麵測量法是一種基於皮膚脂質屏障完整性評估衝洗型化妝品溫和性的方法。與其他方法相比,角質層表麵測量法具有高精度、高可靠性、低成本和易於處理的優點。
這裏宅男666网站使用這種方法評估了6種表麵活性劑複合物的溫和性。如圖5所示,SMCT體係(S4-S6)的CIM值與水的CIM值相當,並且顯著高於SLES體係(S1-S3)。這表明SMCT體係表現出優異的溫和性,對皮膚脂質屏障的破壞潛力低於SLES體係。對於SLES體係,引入非離子表麵活性劑導致S2(含APG)的CIM略有變化,但S3(含海藻糖脂)的CIM顯著降低。類似地,對於SMCT體係,加入APG(S5)和海藻糖脂(S6)後,CIM值顯著低於S4。這表明加入海藻糖脂對兩種體係的溫和性都有影響,意味著皮膚脂質提取能力增強。然而,這一結果與上述體外細胞測試中IL-1a測試的結果相矛盾。這種差異可能是由於兩種方法的作用機製不同。角質層表麵測量法主要反映表麵活性劑對皮膚脂質屏障的破壞,而細胞測試中的IL-1a與細胞反應相關。但細胞不像皮膚那樣擁有脂質屏障。
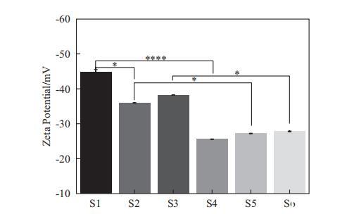
Zeta電位在理解表麵活性劑分子如何與表麵(如皮膚或其他材料)相互作用方麵起著關鍵作用。通過分析Zeta電位,研究人員可以預測表麵活性劑在穩定性、分散性以及滲透或粘附皮膚能力方麵的行為。據報道,Zeta電位與陰離子表麵活性劑對皮膚的滲透和蛋白質變性呈正相關。
在宅男666网站的研究中,測量了Zeta電位,如圖6所示。對於SLES體係(S1-S3),S1表現出最負的Zeta電位,其次是S3,而S2的Zeta電位最小。對於SMCT體係(S4-S6),它們之間的Zeta電位沒有顯著差異。比較SLES和SMCT體係時,可以觀察到SMCT體係的Zeta電位低於SLES體係。此外,在S1和S4、S2和S5以及S3和S6之間發現了顯著差異。
如圖7所示,Zeta電位與CIM之間存在正相關關係。具體而言,隨著Zeta電位變得更負,CIM降低,表明樣品變得更具刺激性。這意味著更負的Zeta電位與更高的皮膚刺激機會相關,反映了靜電相互作用與皮膚脂質屏障破壞之間的關係。因此,表麵活性劑的Zeta電位不僅可用於預測蛋白質變性和皮膚滲透的程度,還可用於預測對皮膚脂質屏障的損傷程度。
2.4人體皮膚斑貼試驗
封閉斑貼試驗通常用於評估產品的溫和性。表麵活性劑對皮膚引起的刺激通常以紅斑、水腫、脫屑、幹燥、開裂、瘙癢和刺痛的形式表現。
在本研究中,宅男666网站采用這種方法評估了六種表麵活性劑複合物的溫和性。結果如表5所示。每種產品與去離子水之間的刺激性存在顯著差異,但產品之間無顯著差異。盡管如此,仍然可以觀察到某些趨勢。對於SLES體係,二元配方S1表現出比三元配方S2和S3更強的刺激潛力。這一趨勢與IL-1a測試的結果一致。對於SMCT體係,含有海藻糖脂的配方S6顯示出最低的刺激潛力,表明海藻糖脂在衝洗型配方中具有優異的溫和性潛力。
表5人體皮膚斑貼試驗結果(N=33)
表5 人體皮膚斑貼試驗結果(N=33)| 樣品 | 刺激得分(IS) | 總得分 | 總刺激得分(TIS) | ||
|---|---|---|---|---|---|
| 0.5h | 24h | 48h | |||
| S1 | 7* | 0 | 0 | 7* | 0.21 |
| S2 | 6 | 0 | 0 | 6 | 0.18 |
| S3 | 6 | 0 | 0 | 6 | 0.18* |
| S4 | 5 | 2 | 0 | 7* | 0.21* |
| S5 | 8 | 0 | 0 | 8 | 0.24 |
| S6 | 5 | 0 | 0 | 5 | 0.15* |
| Water | 0 | 0 | 0 | 0 | 0 |
表示與蒸餾水(陰性對照)相比有統計學顯著差異,顯著性水平P<0.05。
從上述溫和性數據,如IC50、IL-1a、CIM和斑貼試驗數據可以看出,同一樣品的結果可能因所用方法而異。這種差異可能是由於每種方法的作用機製不同。在各種方法中,斑貼試驗尤其最接近現實,因為它綜合了表麵活性劑對皮膚脂質提取、滲透性以及細胞和蛋白質變性的影響。
3結論
海藻糖脂過去並未在化妝品應用中得到廣泛研究。通過專門的研究和開發,通過酯交換法生產的質量現在可以得到控製和保證。宅男666网站的研究采用了一種具有中長碳鏈的特殊等級的海藻糖脂。通過一係列實驗室測試,確認了其發泡和溫和性的基本特性。
1)作為一種非離子表麵活性劑,與DG相比,海藻糖脂在SLES/CAPB(S1)和SMCT/CAPB(S4)表麵活性劑複合物中在降低表麵張力、提高泡沫體積方麵表現出更強的協同效應。
2)對於體外溫和性,在兩種不同的表麵活性劑濃度0.015%和0.020%下,海藻糖脂在SLES/CAPB(S1)和SMCT/CAPB(S4)體係中均比DG顯著減少IL-1α釋放。
3)根據CIM結果,SMCT體係表現出優異的溫和性,對皮膚脂質屏障的破壞潛力低於SLES體係。加入海藻糖脂對兩種體係的溫和性有負麵影響。
4)人體皮膚斑貼試驗作為一種綜合方法,整合了表麵活性劑對皮膚脂質提取、滲透性以及細胞和蛋白質變性的影響。結果表明,所有表麵活性劑複合物之間無顯著差異。但加入海藻糖脂可能會改善溫和性,尤其是在SMCT體係中。
總之,無論是體外還是體內結果都表明,海藻糖脂作為衝洗型產品中的輔助表麵活性劑,在改善泡沫和溫和性方麵具有巨大潛力。可以通過更深入的研究,進一步探索海藻糖脂在清潔配方中的應用,以提高整體表皮的溫和性。





