宅男666网站,宅男视频在线网站,宅男视频网站,宅男APP免费观看

芬蘭Kibron專注宅男视频在线网站測量技術,快速精準測量動靜態表麵張力

熱線:021-66110810,66110819,66110690,13564362870 Email: info@vizai.cn

合作客戶/

拜耳公司.jpg

拜耳公司

同濟大學

同濟大學

聯合大學.jpg

聯合大學

寶潔公司

美國保潔

強生=

美國強生

瑞士羅氏

瑞士羅氏

當前位置:首頁 > 新聞中心

不同濃度6∶2氟調磺酸的表麵張力測定儀器及結果(一)

來源:岩礦測試 瀏覽 944 次 發布時間:2025-05-12

全氟和多氟烷基物質(PFAS)具有親水性功能團和疏水性烷基鏈,展現出優良的表麵活性、熱穩定性以及疏水疏油性,被廣泛應用於表麵活性劑、消防泡沫、農藥化學品和紡織品等多個領域。然而,大部分PFAS的生物降解性較低,可以在環境中持久存在,且其具有生物積累性,可能引發包括免疫毒性、遺傳毒性和致癌性在內的多種毒性效應。全氟烷基酸(PFAA)是研究最為廣泛的一類PFAS,已在環境介質和生物體內被頻繁檢出,且其中廣泛使用的全氟辛烷磺酸(PFOS)和全氟辛酸(PFOA)分別於2009年和2019年作為新興持久性有機汙染物被列入《斯德哥爾摩公約》,並被禁止或嚴格限製使用。因此,部分PFAA前體物作為PFOS的替代物被大量生產和使用,近些年被眾多學者所關注,如6∶2氟調磺胺甜菜堿(6:2 FTAB)和6∶2氟調磺酸等。已有研究表明,PFAA前體物能夠通過非生物或生物途徑轉化為半衰期更長、毒性更大的較穩定的PFAA,已成為地下水PFAS大規模汙染的主要間接來源。


6∶2氟調磺酸不僅是水成膜泡沫(AFFF)配方的直接添加組分,同時也是AFFF中其他PFAS,如6∶2氟調巰基烷基胺磺酸(6∶2 FtTAoS)和6∶2 FTAB在環境中的主要降解轉化產物。該物質表現出持久性與生態毒性,且在環境中廣泛分布,土壤作為其重要儲庫,能夠長期向地表水和地下水釋放汙染物。盡管在特定環境條件下,6∶2氟調磺酸可能發生部分降解,但其整體的環境持久性仍導致持續汙染風險。在消防訓練場地、生產基地及機場附近的土壤和地下水中,均已檢出6∶2氟調磺酸,在黃土高原的地下水中,主要檢測到的PFAA前體物也為6∶2氟調磺酸。


然而,目前尚未有對6∶2氟調磺酸明確的環境控製標準,其汙染源亦未得到有效阻斷,對地下環境的影響範圍持續擴大。因此,從保障飲用水安全和維護生態可持續性的角度出發,亟需對6∶2氟調磺酸的環境行為及其在包氣帶中的遷移規律進行深入的研究。目前,針對PFAA前體物的研究主要集中於其分析方法的開發、總量確定、空間分布特征、種類識別以及在多孔介質上的吸附和生物轉化等方麵,然而大多數研究仍處於初步探索階段,關於其環境行為的係統性研究相對較缺乏。已有研究指出,多孔介質的有機質含量、顆粒粒徑和含水率等因素顯著影響傳統PFAS的吸附和遷移特性。考慮到土壤作為環境中最重要的多孔介質體係之一,深入研究土壤理化性質對6∶2氟調磺酸遷移行為的調控機製顯得尤為重要。這一認識對於準確預測其環境歸趨及生態風險具有關鍵意義。


本研究旨在闡明6∶2氟調磺酸在土壤多相體係中的界麵行為及影響因素。通過表麵張力測定量化其表麵活性,結合飽和條件下的混相驅替實驗解析固-水界麵吸附特征,並利用非飽和條件下的柱實驗揭示氣-水界麵吸附對6∶2氟調磺酸滯留的關鍵作用。土壤樣品采自中國山東省青島市某農田的土壤剖麵,自然風幹後經幹篩法分級為40~50目和50~60目兩種粒徑組分,在飽和及非飽和條件下對比其遷移特征,明確土壤顆粒粒徑、有機質含量和含水率對6∶2氟調磺酸遷移的影響,為科學描述6∶2氟調磺酸在土壤中的歸趨、評估其環境風險及製定汙染控製策略提供理論依據。


1.實驗部分


1.1標準溶液和主要試劑


6∶2氟調磺酸(純度98%,CAS#27619-97-2)購自Macklin公司(中國),以0.01mol/L氯化鈉溶液為溶劑稀釋至目標濃度。作為實驗目標汙染物,用於研究其在特定條件下的遷移行為。


五氟苯甲酸(純度98%,CAS#602-94-8)標準品同樣由Macklin公司(中國)提供,在混相驅替柱實驗中的目標濃度為120mg/L,以0.01mol/L氯化鈉溶液為溶劑進行配製。作為所有柱實驗的非反應性示蹤劑(NRT),用於評估平流和分散過程對遷移的影響,排除化學反應對遷移影響的幹擾。


0.01mol/L氯化鈉溶液由超純水作為溶劑進行配製,作為6∶2氟調磺酸和五氟苯甲酸的統一溶劑,確保離子強度與背景電解質濃度的一致性,減少實驗變量,避免雜質幹擾目標汙染物的遷移與反應研究。


在受AFFF影響的地點以及附近的陸地和水生生態係統中,廣泛檢測到6∶2氟調磺酸,例如美國佛羅裏達州廷德爾空軍基地的地下水樣品中,氟調磺酸總濃度範圍為1100~14600µg/L,其中6∶2氟調磺酸占99%。在受汙染的土壤中,6∶2氟調磺酸的濃度最高可達2101µg/kg。結果表明,6∶2氟調磺酸在土壤和地下水中的濃度可達100µg/kg和100µg/L以上。本次柱實驗中使用的6∶2氟調磺酸輸入濃度為100µg/L,符合現場觀測的濃度範圍。


1.2實驗介質


本研究選用的兩種多孔介質分別為QD1(表層20~40cm土壤)和QD2(地下50~100cm深層土壤),均采自青島市嶗山區某農田。經過自然風幹後,將其篩分為40~50目和50~60目。實驗選用土壤中的金屬氧化物含量均較低,主要差異為有機質含量。土壤樣品的性質見表1。

表1土壤樣品性質


1.3表麵張力測試


測定不同濃度6∶2氟調磺酸的表麵張力,濃度為:0、0.001、0.01、0.1、0.5、1、5、10、20、50、80、100mg/L。控製樣品溫度為23±0.3℃左右,每組進行多次平行實驗,直到獲得三次及以上相近結果(偏差小於0.7%)。


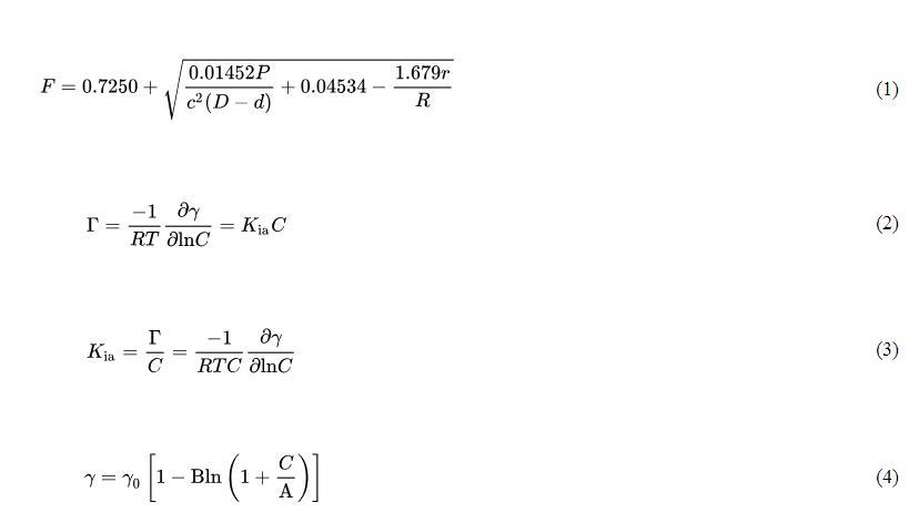
實際表麵張力(γ)由儀器表麵張力讀數(P)、校正因子(F)和實驗相關常數相乘得到。校正因子計算如公式(1)所示;氣-水界麵吸附係數通過Gibbs吸附等溫方程得到,見公式(2)和公式(3);將Szyszkowski方程應用於表麵張力數據,見公式(4),該方程提供了一種計算數值的統一方法。

式中:F為校正因子;P為刻度盤表麵張力示數(dyn/cm);c為鉑金圓環周長(cm);D為下層液體密度,即6:2氟調磺酸溶液密度(g/cm3);d為界麵上層密度,即空氣密度(g/cm3);r為鉑金絲半徑(cm);R為鉑金圓環半徑(cm)。Γ為表麵過剩(mol/cm3);R為理想氣體常數(erg/mol K);T為開氏溫度(K);γ為實際表麵張力(dyn/cm);C為6:2氟調磺酸溶液濃度(mol/cm3);Kia為氣-水界麵吸附係數(cm3/cm2)。γ0是6:2氟調磺酸在純水中的表麵張力,A和B分別是與特定化合物和相應係列性質有關的變量。采用最優擬合函數求得公式(3)所需的局部-斜率因子。


網站地圖