宅男666网站,宅男视频在线网站,宅男视频网站,宅男APP免费观看

芬蘭Kibron專注宅男视频在线网站測量技術,快速精準測量動靜態表麵張力

熱線:021-66110810,66110819,66110690,13564362870 Email: info@vizai.cn

合作客戶/

拜耳公司.jpg

拜耳公司

同濟大學

同濟大學

聯合大學.jpg

聯合大學

寶潔公司

美國保潔

強生=

美國強生

瑞士羅氏

瑞士羅氏

當前位置:首頁 > 新聞中心

固體、鹽溶液表麵張力測量及與其在潔淨矽橡膠表麵接觸角的關係研究(一)

來源:電瓷避雷器 瀏覽 891 次 發布時間:2025-07-10

在實際電力係統線路運行環境中,矽橡膠表麵的不同染汙程度和水滴吸收汙層鹽分共同作用影響矽橡膠表麵液滴接觸角的大小。采用懸滴法測量鹽溶液表麵張力和理論計算法測量汙層表麵張力,並對比鹽溶液在潔淨矽橡膠表麵的接觸角和水在汙層表麵的接觸角,分別分析液體表麵張力和固體表麵張力對液滴形態的影響規律。結果表明,對於鹽溶液液滴,隨著NaCl濃度增大,其表麵張力增大,鹽液滴在潔淨矽橡膠表麵的接觸角增大;對於汙層表麵,由於鹽密增大,固體表麵張力增大,故即使水液滴吸收了汙層中鹽分使得自身表麵張力增大,液滴接觸角仍減小;並且在實際運行情況下,液滴接觸角受汙層性質的影響較大。


矽橡膠複合絕緣子具有優良的耐汙閃性能,近些年矽橡膠複合絕緣子的使用數量日益增加。在中國,已有超過400萬支複合絕緣子應用於輸電線路上。


在染汙矽橡膠表麵,水分呈現的形態關係著汙閃電壓的大小,若水分形成連續的水膜而不是獨立的水珠,絕緣子的汙閃電壓相對較低。國內外學者對人工汙穢下的憎水性變化規律、憎水性喪失及憎水遷移性的機理等方麵做出了研究。大量研究表明,矽橡膠材料的憎水性和憎水遷移性受到矽橡膠本體的配方和汙層厚度等因素的影響,也會受到汙穢成分和所處環境的影響。]對灰成分和憎水性遷移時間與複合絕緣子汙閃特性進行研究。對比了不同鹽密和灰密的汙層對憎水性和憎水遷移性的影響,結果表明灰密對矽橡膠憎水遷移性的影響比鹽密更明顯。憎水性和憎水性遷移程度直接關係到複合絕緣子的耐汙閃性能。


在實際運行環境下,絕緣子汙層中的汙穢成分複雜,對絕緣表麵的特性造成的影響各異。不同性質的汙層會影響液滴在汙層表麵的擴散,並且鹽分被液滴吸收從而使液滴性質發生改變,因此水分在不同汙層表麵上呈現的形態及變化過程是複雜的。目前已有研究針對不同的汙層種類和液滴的形態對憎水性和汙閃電壓的影響進行研究,但單獨改變汙層的性質無法全麵地模擬出實際運行條件下水分在矽橡膠表麵的呈現形態和接觸角的變化過程。


由於表麵張力的表征是許多生產過程和自然現象的基礎,表麵張力可反映液體和固體兩者的性質。染汙矽橡膠表麵上液滴的接觸角受到液滴和汙層的表麵張力影響,因此可測量鹽溶液和汙層的表麵張力說明兩者在液滴接觸角的變化過程中的作用以及表麵張力與液滴形態的關係。固體表麵張力測量的主要方法有Zisman法、狀態方程法、表麵張力分量法等,國內朱定一等人推導出了計算固體表麵張力的新方法。


筆者通過采用測量不同汙層和鹽溶液的表麵張力,並測量純水在汙層上的接觸角和鹽溶液在潔淨矽橡膠表麵上的接觸角的研究方法,從液體和固體的表麵張力的角度,分別討論了液滴在不同染汙表麵和液滴自身的鹽分變化對接觸角的影響程度,為實際運行狀態下液滴接觸角的表征及其變化規律提供參考。


1試驗方法


1.1表麵張力測試


1.1.1液體表麵張力測試方法


筆者采用液體表麵張力的測量方法為懸滴法,即通過測量懸掛著的液滴的外形參數而推算出液體表麵張力,如圖1所示。在憎水角測試儀配套的微量進樣器中滴出液滴,拍攝液滴照片,讀取液滴形態參數的像素值,根據測量滴管的實際尺寸和像素值,獲得像素值和實際尺寸的比例,換算實際液滴的尺寸參數,並根據公式推算表麵張力。


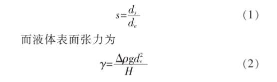
選用液滴的體積為2μL,保證液滴穩定之後,獲取液滴照片。測量液滴直徑d,從懸滴液最低點上方垂直距離為的位置讀出縱坐標的值,在該縱坐標的位置得到液滴在該位置上的寬度ds。定義:

而液體表麵張力為


式(2)中為液體和空氣之間的密度差,g為重力加速度,而根據經驗公式和推導證明,認為S和1/H是反應液滴形狀的參數,可查表得到兩者的固定關係,根據此關係將S代入表麵張力計算,可以得到液體表麵張力。

圖1液體表麵張力測量示意圖


當實驗室溫度為22℃時,de為1.44 mm,ds為0.57 mm,用懸滴法測量水的表麵張力為72.02 mN/m,由於純水在22℃下的表麵張力為72.44 mN/m,可驗證懸滴法在本研究中的有效性。


1.1.2固體表麵張力測試方法


本文采用理論計算法測量固體表麵張力。理論計算法為選用兩種已知表麵張力的液體,測量其在被測固體表麵的接觸角,通過公式計算得固體表麵張力γc。根據Young’s方程推導出公式:


式中:θa1表示一種液體在被測固體表麵上的接觸角;θa2表示另一種液體在被測固體表麵上的接觸角;γc為被測固體表麵的表麵張力;為γa1第一種滴落的液體的表麵張力,γa2為第二種滴落的液體的表麵張力;b為一個待定參數,消去常數b,計算固體表麵張力。本文選用水和甘油作為測試固體表麵張力的試品,測量不同液滴接觸角,計算獲得表麵張力。


當實驗室溫度為22℃時,測量得到水在潔淨矽橡膠表麵的接觸角為100.41°,甘油在潔淨矽橡膠表麵的接觸角為79.22°,水的表麵張力為72.02 mN/m,甘油的表麵張力為59.4 mN/m,代入公式(3)算得潔淨矽橡膠表麵張力為31.46 mN/m。在室溫下,矽橡膠材料的表麵張力的大致範圍為15~35 mN/m,因此該方法可滿足本研究中的要求。


網站地圖